报告摘要:
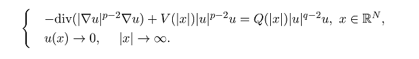
The talk is concerned with the weighted Sobolev embedding

for radial functions and then apply the variational methods to the solvability of the quasilinear elliptic equation

报告人简介:
苏加宝,陕西横山人。中国科公司理学博士,首都师范大学教授、博士研究生导师。1982年毕业于365英国上市公司官网榆林专修科(现榆林公司);1987年获365英国上市公司官网函授本科学历;1994年获河北师范大学理学硕士学位;1997年获中国科公司数学研究所理学博士学位,同年到首都师范大学工作;2002年破格晋升教授;2003年获博导资格;2005年入选北京市中青年骨干教师;2008年获首都师范大学十佳教师称号;2010年入选北京市人才创新团队负责人;2011年参加方复全教授主持的教育部《几何分析》创新团队。三次主持国家自然科学基金面上项目、一次参加国家自然基金重点项目,主持人事部留学择优重点基金、教育部高校博士点基金和留学基金;连续三次主持北京市自然科学基金、两次主持北京市教委重点基金。先后多次到欧洲、美国、香港等地的大学和学术机构访问。在包括《Adv.Math》、《JDE》、《Calculus Variational》、《CCM》、JMAA、NA等在内的20多种国际SCI数学期刊上发表学术论文60多篇,研究工作被国内外560多名数学物理工作者发表在148种数学期刊的论文、专著和预印本引用千余次,其中SCI期刊引用近900次。和28位国内外同行有实质性的学术合作,其中包括李树杰、刘嘉荃、P.Rabinowitz、M.Willem、王志强等国际著名数学家。